Latest Publications
High-throughput detection of microeukaryotic parasites in insects using Nanopore sequencing
By Eduard Bessete, Sam Edwards and Bryony Williams, posted March, 2026
This study employed Nanopore sequencing to explore and phylogenetically analyse microsporidian and protist parasites in reared insects. Using group-specific primers and amplicon pooling strategies, we successfully amplified and sequenced a key protist group (Gregarinasina), microsporidia and fungal pathogens from insect host DNA, providing data for their future detection. Our approach generated novel molecular data, enabling the inference of small subunit and long subunit rRNA phylogenies which enhance the understanding of the evolutionary origin of these parasites. Furthermore, we highlight potential shortcomings of currently available primers and provide new Gregarine-specific primers to aid in further research of these overlooked entomopathogens. This research demonstrates the effectiveness of third-generation sequencing technologies in improving diagnostic tools and advances the study of pathogen biodiversity within economically important insect hosts.
The full text of this manuscript an be found here: https://doi.org/10.1099/mgen.0.001649
No longer uncertain: the validation of tenebrionid insects as hosts of Blattambidensovirus incertum1 isolates by phylogeny and infection studies
By Fang-Shiang Lim, posted March 2026
Tenebrio molitor is one of the most important insects reared on the industrial scale for food and feed. However, mass-rearings carry the risk of rapid spread of insect pathogens. In T. molitor, the Tenebrio molitor densovirus (TmDV) is particularly relevant and pose a threat to a healthy insect population. In the present study, samples of the TmDV, which were collected from a commercial mealworm facility, were investigated metagenomically using Nanopore sequencing.
TmDV was detected in larvae, pupae, and adults – both in symptomatic and apparently healthy individuals. Various genotypes of TmDV were reconstructed, which occurred simultaneously in the population. In addition, reinfection experiments confirmed that T. molitor can be successfully re-infected by TmDV, confirming that the mealworm is susceptible hosts for TmDV. Interestingly, infection with TmDV tended to be asymptomatic. Mortality was only observed at very high virus doses. Comparative phylogenetic analyses showed that previously published virus sequences detected in bird, bat, and pangolin metagenomes belong to the same virus species (Blattambidensovirus incertum1). However, these are not due to actual infections, but represent purely metagenomic evidence. The vertebrates probably ingested the TmDV by feeding on TmDV infected mealworms. The results underscore the risk of metagenomic studies, in which the detection of a virus does not necessarily imply an actual relationship between host and pathogen.
The complete article is available here: https://doi.org/10.1099/jgv.0.002211

Figure: Phylogenetic classification of metagenomically classified densoviruses as Tenebrio molitor densovirus.
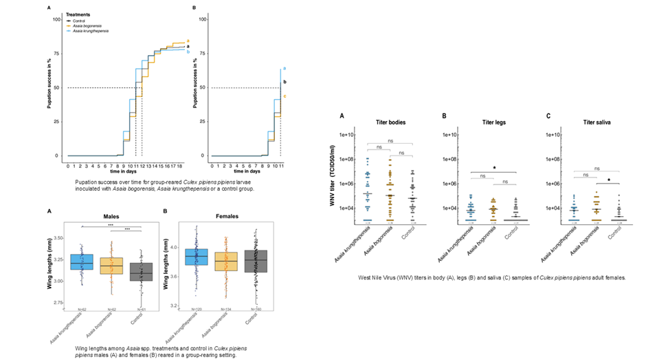
Asaia spp. exposure for improving mosquito mass-rearing, and the effects on Culex pipiens pipiens vector competence for West Nile virus
By Alessandro Roman, posted December 2025
Various vector-control strategies are currently employed to reduce the spread of arthropod-borne viruses. While the long-established method of “clapping hands in the air” can still yield satisfying results, its effectiveness remains highly dependent on the operator’s precision and reaction time. Other approaches, such as the application of insecticides, are facing increasing challenges due to the widespread evolution of resistance, leading to an overall reduction in effectiveness. Fortunately, alternative approaches for mosquito population control have moved beyond hand-based tactics toward biological approaches, such as the Sterile Insect Technique. This technique depends on the efficient mass-rearing of healthy mosquitoes prior to mass-release in the field. As the name suggests, the sterile insect technique aims to produce males that are impeccably sterile, but otherwise charming enough to be selected by the wild counterpart.
There is therefore the need for healthier and fitter mass-reared males. Acetic Acid Bacteria of the genus Asaia can have a mutualistic effect on larval development in different mosquito species and can thus contribute to improved rearing output. However, whether addition of Asaia as probiotic may have knock-on effects in the adult stage, for example by increasing their capability to transmit arbovirus, remains unclear. We investigated the effect of Asaia spp. on the development and, furthermore, the vector competence of adult Culex pipiens pipiens females for West Nile Virus, as it is inevitable that also a small number of females would be mechanically selected for mass-release, along with the sterile males.
Our results shows that larval exposure to Asaia krungthepensis sped up development and produced larger male Cx. p. pipiens, indicating potential benefits for mass-rearing. In females, Asaia spp. did not change overall West Nile Virus infection outcomes but did affect virus titres, likely through indirect microbiota-related effects.

So, while Asaia won’t turn mosquitoes into more dangerous virus carriers, it might help us rear sturdier ones for control programmes—leaving the “hand-clapping technique” free to remain a purely recreational sport.You can find the full paper at https://doi.org/10.1371/journal.pone.0330703
Novel RNA viruses in a commercial colony of Tenebrio molitor
by Carlotta Savio, May 2025
Mass reared insect strains are characterized by interactions with microorganisms, including viruses, that can be either beneficial or pathogenic and might lead to improved or decreased host health.
We identified the need to screen for additional insect viruses associated with the yellow mealworm, Tenebrio molitor, as it is a coleopteran species mainly reared for food and feed purposes showing high susceptibility to the Tenebrio molitor densovirus (TmDNV), which can lead to the loss of the entire population in a few days.

In this study, we described and characterized five novel viruses associated with a European commercial T. molitor strain: Tenebrio molitor virga-like virus 1 (TmViLV1), Tenebrio molitor virga-like virus 2 (TmViLV2), Tenebrio molitor iflavirus 1 (TmIV1), Tenebrio molitor tombusvirus 1 (with two segments) (TmToV1), and Tenebrio molitor associated narnavirus 1 (TmAsNaV1). Then, we assessed the prevalence of these viruses in T. molitor samples derived from T. molitor rearings located worldwide
Assessing host-virus interactions aids in unravelling the effect of viruses on insect development, giving insights into possible implications for mass-rearing facilities. The paper can be approached here: https://doi.org/10.1016/j.jip.2025.108351
Determining multiple stressor interactions in mass-reared insects based on principles of ecotoxicology
by Helen Hesketh, May 2025
The large-scale rearing of insects for food and feed presents unique challenges, particularly the management of biotic and abiotic stressors that can impact insect health and productivity. Pathogens, in combination with environmental stressors, can lead to synergistic effects that significantly increase the risk of population collapse. As part of the INSECT DOCTORS programme, we held a workshop to bring together ideas from the disciplines of Ecotoxicology and Invertebrate Pathology and to discuss unifying approaches to understanding how pathogens, beneficial microorganisms, and other stressors impact insects reared for food and feed. This workshop was held in Aveiro, Portugal.
This manuscript reviews how ecotoxicological approaches to modelling multiple stressor interactions can be adapted to insect mass-rearing systems. It emphasizes the urgent need for standardized terminology, experimental design, and data analysis across disciplines to improve the reliability of predictions regarding pathogen-stressor interactions. Enhancing our understanding of these complex dynamics is essential for optimizing rearing conditions and maintaining the resilience of insect production systems.


High-throughput screening reveals high diversity and widespread
distribution of viruses in black soldier flies (Hermetia illucens)
by Robert Pienaar

Read the full-lenght paper here: https://doi.org/10.1016/j.jip.2025.108322
Virus discovery in mass-reared insects is a growing topic of interest due to outbreak risks and for insect welfare concerns. In the case of black soldier flies (Hermetia illucens, BSF), pioneering bioinformatic studies have uncovered exogenous viruses from the orders Ghabrivirales and Bunyavirales, as well as endogenous viral elements from five virus families. This prompted further virome investigation of BSF metagenomes and metatranscriptomes,
including from BSF individuals displaying signs and symptoms of disease. A high-throughput pipeline allowed the simultaneous investigation of 203 next generation sequencing datasets. This revealed the presence of seven viruses belonging to the families Dicistroviridae, Iflaviridae, Rhabdoviridae, Solinviviridae, Inseviridae, Lebotiviridae, and an unclassified Bunyavirus. Here we describe five viruses, which were detected in BSF from multiple origins, outlining the diversity of naturally occurring viruses associated with BSF colonies. We developed molecular detection tools which might be used for viral surveillance, both in mass-reared and wild populations of BSF.
Double Trouble? Quantifying the risk from co-exposure to multiple pathogens in Tenebrio molitor at different CO2 concentrations
by Pascal Herren
Mass-reared insects are frequently exposed to multiple pathogens and abiotic stressors simultaneously. The risk of one stressor can shift in the presence of another, yet these interactions are often studied in isolation. These interactions can alter disease dynamics in various ways, amplifying or mitigating risks.
Using yellow mealworm (Tenebrio molitor) larvae, we evaluated the combined effects of the fungal pathogen Metarhizium brunneum and the bacterial pathogen Bacillus thuringiensis under ambient and elevated CO₂. Employing mixture toxicity models, we assessed survival, biomass, and weight gain. Interactions were predominantly antagonistic or additive across time points, and elevated CO₂ did not substantially alter these effects. This indicates that, in the tested system, simultaneous exposure to these stressors does not result in a significant increase in disease risk.
Read the full-length article here: https://www.sciencedirect.com/science/article/pii/S0022201125000035

Transcriptional dynamics during Heliothis zea nudivirus 1 infection in an ovarian cell line from Helicoverpa zea
By Monique van Oers and Jirka Manuel Petersen
Among the members of the order Lefavirales, nudiviruses have an exceptionally broad host range and diverse pathological dynamics, with new members being discovered frequently in insects and crustaceans. As nudiviruses are economically significant pathogens of invertebrates, these viruses warrant more in-depth studies to understand their molecular pathology and gene functions, but such studies were so far underrepresented. Our study offers insights into the gene expression profile of a member of the genus Betanudivirus with described potential for biocontrol of the corn earworm, Helicoverpa zea.
This transcriptomic study provides implications on how nudiviruses might modulate the cellular machinery and integrity of their host. The paper also shows how host gene expression responds to nudivirus infection. These findings may pave the way for identifying targets to combat damaging nudivirus infections in crustaceans and mass reared insect, or improve nudivirus efficacy in biocontrol applications.
The paper can be approached here https://doi.org/10.1099/jgv.0.002066

Bacillus thuringiensis serovar morrisoni biovar tenebrionis impact and persistence in Tenebrio molitor larvae
By Carlotta Savio
In this study we observed the effects of the entomopathogen Bacillus thuringiensis sv morrisoni biovar tenebrionis (Btt) spores and toxin on T. molitor larvae survival and growth and its persistence in larvae and in frass. Larvae of different body weight were exposed by free feeding to a range of Btt spore – crystal concentrations spiked to wheat bran (WB) for mimiking mass rearing conditions and for observing the susceptibility of to the pathogens of several larval instars. In mass-rearing conditions, the presence of the entomopathogen Bacillus thuringiensis serovar morrisoni biovar tenebrionis affects T. molitor performance. Moreover, the study highlights the direct correlation between the weight class of the larvae and the susceptibility to Btt. Responses to Btt infection in terms of FCR and weight gain showed lower performance in presence of the pathogen. Btt dynamics in T. molitor larvae along the infection show the ability of Btt to persist in the alive larva. This may suggest a role of the mealworm gut microbiota in the protection against Btt bacteria and Cry toxin, when sub-lethal doses are applied. In addition, it indicates a certain level of persistence of Btt and therefore a risk for infection of more susceptible larval weight classes, suggesting the need to monitor the detection of Btt in the T. molitor rearing setup.

Read the full-length article here:
https://doi.10.1163/23524588-00001028
or follow us on LinkedIn for updates about our research projects: www.linkedin.com/in/carlotta-savio-48930a140
Minor impact of probiotic bacteria and egg white on Tenebrio molitor growth, microbial composition, and pathogen infection
By Carlotta Savio
In this publication we offer an overview on microbial symbionts dynamics in yellow mealworm larvae fed with diet differring in protein content, added with two bacterial probiotic species and challenged with pathogens.
The provision of probiotic bacteria and higher protein content in the diet increased the survivability of the larvae challenged with fungal and bacterial entomopathogens. The bacterial strain acting as probiotic was originally a gut symbiont of the yellow mealworm population. The other probiotic bacteria not isolated from the insect did not presented beneficial activities, highligting the importance of the origins of the probiotic strains for observing protective results and improved fitness on insect population.
Moreover, the dynamics of the microbiota composition indicated the inability of both the added pathogens and probiotics to persist or increase in abundance in the larvae after their provision ended, indicating the importance of the microbial community homeostasis in insect health. Overall, probiotic bacteria could be applied in insect mass-rearing facilities as preventive treatment to reduce the risk of entomopathogens infection.

Read the full-length article here: https://doi.org/10.3389/finsc.2024.133452610.3389/finsc.2024.1334526
or follow us on LinkedIn for updates about our research projects: www.linkedin.com/in/carlotta-savio-48930a140
Covert RNA viruses in medflies differ in their mode of transmission and tissue tropism
By Luis Hernández Pelegrin
In this publication, we provide valuable insights into the viral tropism and transmission of RNA viruses in the medfly. The presence of covert viral infections in insects has been extensively reported. These infections can be transmitted in insect populations via two main routes: vertical from parents to offspring, or horizontal between nonrelated individuals. In the agricultural pest Ceratitis capitata, also known as the Mediterranean fruit fly or medfly, thirteen covert RNA viruses have been described to date. Despite most of these viruses are correlated with covert infections with no obvious symptoms, infection with Ceratitis capitata nora virus is known to impair medfly development, highlighting the potential of RNA viruses for the control of medfly pests.

on medfly ovaries and testes.
To better understand the virus-host interactions, we uncovered which tissues are infected with covert RNA viruses in the medfly and which is the preferred transmission route of these viruses. Altogether, our results indicated that vertical and horizontal transmission can occur simultaneously, although each virus is transmitted more efficiently following one of these routes. As might be expected, our results indicated an association between the tropism of the RNA virus and the preferred route of transmission. Overall, the results presented in our manuscript set the basis for understanding how viruses are established and maintained in medfly populations.
Read the full-length article here: https://doi.org/10.1128/jvi.00108-24 or follow us on LinkedIn for updates about our research projects: Luis Hernández Pelegrín | LinkedIn
The “nudist” viruses from prehistoric times: Data-driven discovery of novel nudiviruses (Nudiviridae) from ectoparasitic insects
By Jirka Manuel Petersen
In our recent publication, “Nudiviruses in Free-living and Parasitic Arthropods: Evolutionary Taxonomy,” we review the latest discoveries within the virus family Nudiviridae. Utilizing a data-driven virus discovery approach, we identified multiple nudiviral elements and complete genomes in publicly available Next Generation Sequencing (NGS) datasets. Notably, we recovered full genomes of novel nudiviruses from the sequencing data of ectoparasitic insects, such as fleas and lice, which were previously unassociated with nudivirus infections. The newly obtained molecular information from our data-mining approach, combined with recently deposited data from other sources, necessitated an updated taxonomic and evolutionary review of this virus family. To achieve a greater understanding of the diversity and evolutionary history of the Nudiviridae, we developed a novel phylogeny. Our updated analyses led us to propose a new taxonomic structure for the Nudiviridae, suggesting two new viral genera: Zetanudivirus and Etanudivirus, which include lice-infecting members. Our evolutionary analysis indicates that significant turning points in nudivirus evolution may have occurred in ancestral lice or fleas, possibly on feathered dinosaurs (90 – 170 million years ago). Finally, we discuss the ecological role of nudiviruses, including their potential for veterinary applications to control ectoparasite infestations on avian and mammalian hosts.

